带驾驶员模型的 1/4 车辆座椅与悬架集成控制仿真

本文为下面这篇论文的复现和代码实现的项目readme。

H. Du, W. Li and N. Zhang, “Integrated Seat and Suspension Control for a Quarter Car With Driver Model,” in IEEE Transactions on Vehicular Technology, vol. 61, no. 9, pp. 3893-3908, Nov. 2012, doi: 10.1109/TVT.2012.2212472.

这是项目地址

论文的整体思路

论文提出一种整合悬架、座椅、人体的8自由度集成控制模型。

(29)式得到所有状态变量都能被测量假设下的状态控制反馈器;
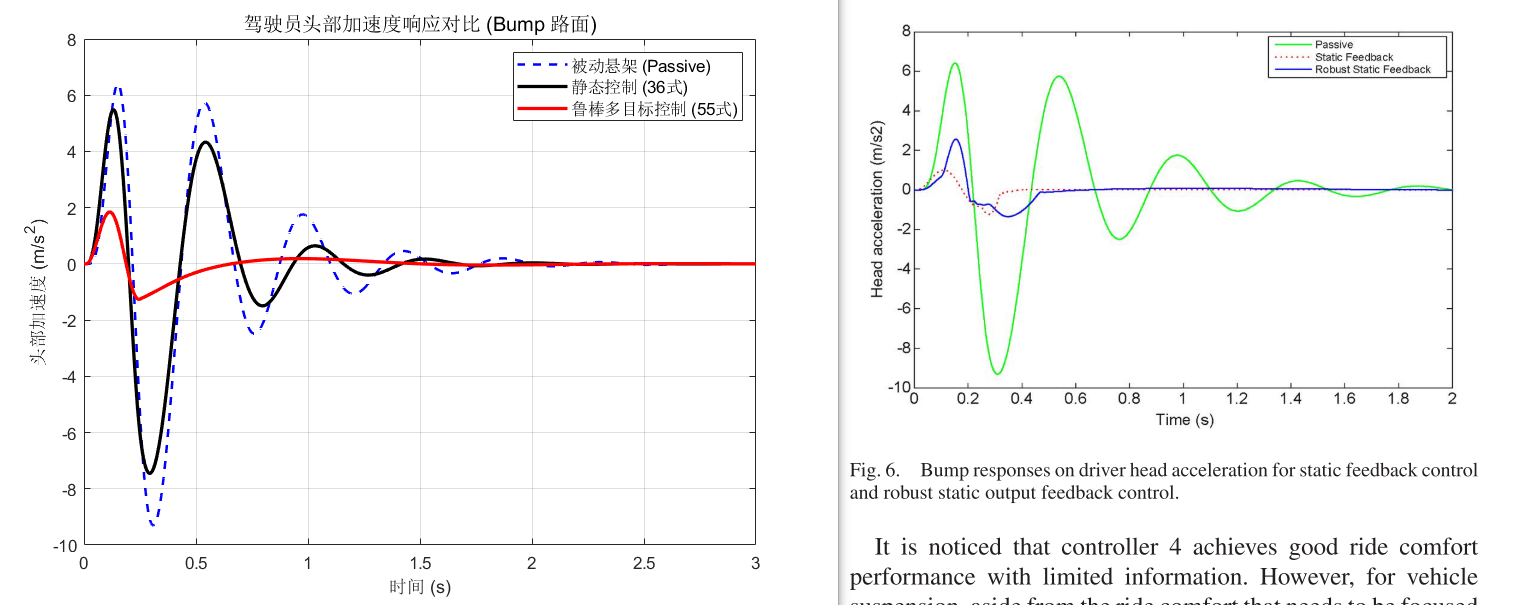
(36)式得到只能利用易测量状态变量不用驾驶员状态情况下的带迹约束的状态控制反馈器;
(55)式得到满足不确定性条件、作动器饱和条件、迹约束条件、以及三大物理行程约束情况下的状态控制反馈器。

之后进行减速带和随机路面信号输入下的仿真验证。

依赖

  • MATLAB
  • YALMIP
  • SDPT3

文件结构与说明

  • main36.m静态输出反馈 HH_\infty 控制 (对应论文(36)式,Controller 4)
    实现纯粹以“最小化驾驶员头部加速度”为目标同时不用驾驶员身体参数进行计算的控制器。但是这个代码由于某些不明原因难以达到论文中控制器4的效果,仅供参考。

  • main55.m鲁棒多目标控制 (对应论文(55)式,Controller 5)
    本项目的核心代码,综合考虑了:

    1. 驾驶员体重的不确定性
    2. 执行器作动力上限
    3. 悬架/座椅行程极限与轮胎负荷限制
  • main_mixed.m控制器综合对比仿真 (对应论文 Fig. 4 - Fig. 9)
    在统一的路面减速带 (Bump) 冲击下,将被动悬架、36式控制器、55式控制器的时域响应同图绘制,便于观察和展示效果。

  • generate_random_road.m随机路面频域验证 (对应论文 Fig. 10)
    利用 ISO 8608 标准生成随机路面扰动,给出仿真车辆在 60~100 km/h 速度下的均方根响应。

  • 部分公式推导笔记对论文中部分重要公式的手写推导
    包括矩阵的推导以及几个公式的前后推导。

效果图

36式效果图

36式效果图⬆️

55式效果图

55式效果图⬆️

三控制器综合对比图

三控制器综合对比图(右为论文图)⬆️

RMS验证图

RMS验证图(左为论文图)⬆️